首页
关于我们
新闻中心
产品中心
企业文化
客户服务
招商加盟
工程实例
人才招聘
客户留言
联系我们
九洲风机 九洲普惠风机 佛山九洲普惠风机

风 机 大 全

空调风机
水冷风机
离子风机
暖风机
气模风机
流体风机
旋涡风机
消防风机
柜式风机
诱导风机
箱型风机
耐高温风机
4-72离心风机

风 机 工 艺

换气扇的选型
风机的选型
玻璃钢防腐通风机...
玻璃钢防腐离心风...
轴流风机的维护
离心风机的故障
屋顶轴流风机的安...
汽柴油价格每吨降...
大型风机在线监测...
风机配套消声器 ...
通风机监测装置
窑尾排风机温度检...
豪顿华轴流风机自...

联系我们

固话:0757-85951281

手机:189-2489-2486

手机:139-2861-9283

传真:0757-89914380

邮箱:gd.fj@163.com

网址:www.nhfan.com

地址:东莞市中堂镇蕉利东区五路9号

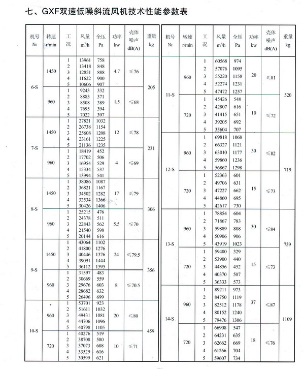
GXF型系列高效低噪声斜流风机

http://www.nhfan.com 阅读383次

GXF系列斜流式风机一种新型低噪高效节能型斜流式通风机,斜流式风机流量大于离心式风机,全压高于轴流式风机,体积小于离心式风机。

    该风机通过了模拟机的实验研究,采用新的叶型及叶片得到了更大的流量 和压力,提高了风机的效率。广泛 应用于工矿企业、宾馆、饭店、博物馆、体育馆等的送排风系统。

     GXF系列斜流风机按叶轮直径分为400—1400mm十四种规格,按类型分A、B、C、D、S五种类型,共五十八个机号。

点击返回
  • QQ咨询

  • 在线咨询
  • 381650148
  • 电话咨询

  • 0757-85951281
  • 189-2489-2486
  • 139-2861-9283